-
Notifications
You must be signed in to change notification settings - Fork 265
Binary Trees Iterative Traversal
Traversing a binary tree recursively is usually the first approach to approaching binary tree problems. However, recursion could lead to large memory footprints, and often times interviewers will ask for an iterative traversal.
When traversing a tree iteratively, it is common to use a stack or a queue. The common pattern involves:
-
Determine whether to use a stack or a queue to store nodes we need to visit.
a) stacks are last-in-first-out.
b) queues are first-in-first-out.
-
While our stack/queue is not null, retrieve nodes from it.
a) When we pop a node to visit, we also have to figure out how to push its child nodes.
As an example, we can take a look at how to implement a preorder traversal iteratively.
Recall the recursive approach for a preorder traversal:
void printPreorder(TreeNode node) {
if (node == null) {
return;
}
System.out.print(node.data + " "); // process node
printPreorder(node.left); // recurse on left
printPreorder(node.right); // recurse on right
}Language: Python
def printPreorder(node:TreeNode):
if node == None:
return
print(node.data)
printPreorder(node.left)
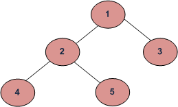
printPreorder(node.right)For the following tree:
Our preorder traversal would be:
1 -> 2 -> 4 -> 5 -> 3
At this point, we know a couple of things
- We want to visit roots before leaves
- We want to visit the left child before the right child.
-
Let's say, we visit each node with a stack. The first node we visit will always be the root. So in the example above,
1is the root. -
When we pop
1from the stack, we have an option to add node2first or node3first. Which node should we push onto the stack first?- Looking at what our traversal should end up being,
2comes before3, so if we want to see2first, we should probably add node3to the stack, followed by node2. That way, when we pop a node from the stack,2will be popped before3
- Looking at what our traversal should end up being,
At this point, we've printed 1 and our stack looks like this:
(2)
(3)
-
As our stack is not empty yet, we can pop from it again. We pop
2, and we have to decide whether to push node4first or node5.-
Again, if we look at our desired traversal outcome from our recursive approach, we see that
4should be printed before5. Following step 2a, it looks like we should push5onto the stack first, followed by4. -
Now we've printed
1 2and our stack looks like this:(4) (5) (3)
-
-
Again, we pop from our stack. This time
4is popped and printed, and since4has no children, we don't push anything, and just keep popping.-
After
4has been popped, the function printed1 2 4and our stack would then contain:(5) (3)
-
Looking at what we've been doing, it looks like a pattern has emerged.
- Create an empty stack
- Push root node onto stack
- While our stack is not empty: a. pop node from the stack and print it b. push right child of popped node to stack. c. push left child of popped node to stack
public void preorderTraversal(TreeNode root) {
TreeNode node = root;
Stack<TreeNode> stack = new Stack<>();
stack.push(root);
while (!stack.isEmpty()) {
TreeNode curr = stack.pop();
System.out.print(curr.data);
if (curr.right != null) {
stack.push(curr.right);
}
if (curr.left != null) {
stack.push(curr.left);
}
}
}Language: Python
def preorderTraversal(root:TreeNode):
stack = []
stack.append(root)
while stack:
curr = stack.pop()
print(curr.data)
if (curr.right != None):
stack.append(curr.right)
if (curr.left != None):
stack.append(curr.left)Time complexity is O(n) since we push/pop each node of the tree, while space complexity is O(h), h being the height of the tree.
Going back to the beginning to see how we approached this problem from start to finish, there are a couple of important steps we followed:
- Recall the recursive way to solve the problem
- Working from the recursive solution, we know what our desired output should be
- Using the desired output, we then tried to create a new approach that would give us the same outcome
- Once we saw a pattern, we were able come up with an algorithm
These are problems that can be solved with similar approaches of using stacks / queues
- Binary Tree Iterator: https://leetcode.com/problems/binary-search-tree-iterator/description/
- Binary Tree Inorder Traversal: https://leetcode.com/problems/binary-tree-inorder-traversal/
- Binary Tree Postorder Traversal: https://leetcode.com/problems/binary-tree-postorder-traversal/
